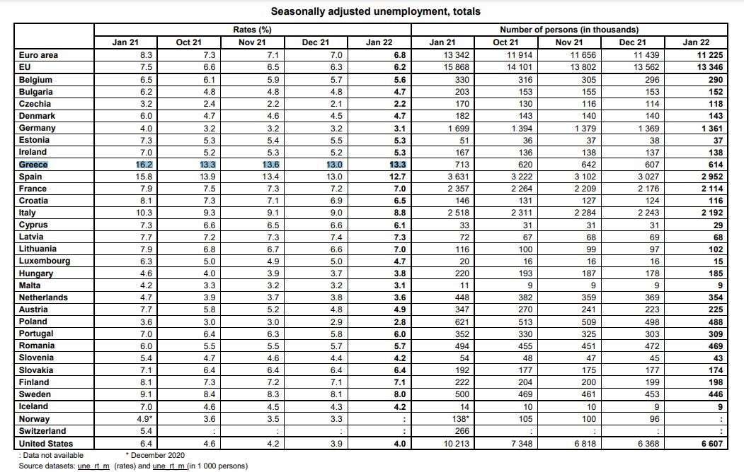
Στο 6,8% διαμορφώθηκε η ανεργία στην ερυωζώνη τον Ιανουάριο, μειωμένη κατά 0,2 ποσοστιαίες μονάδες από τον Δεκέμβριο του 2021 και κατά 1,5 ποσοστιαίες μονάδες χαμηλότερα σε σύγκριση με τον αντίστοιχο περσινό μήνα, σύμφωνα με τη Eurostat.
Το ποσοστό ανεργίας σε ολόκληρη την Ευρωπαϊκή Ένωση τον Ιανουάριο διαμορφώθηκε στο 6,2%, σημειώνοντας πτώση κατά 0,1 ποσοστιαίες μονάδες σε σύγκριση με τον Δεκέμβριο του 2021 και πτώση και κατά 1,3 ποσοστιαίες μονάδες από τον αντίστοιχο περσινό μήνα.

Τα υψηλότερα ποσοστά ανεργίας μεταξύ των χωρών της Ευρωπαϊκής Ένωσης καταγράφηκαν στην Ελλάδα και την Ισπανία, με 13,3% και 12,7% αντίστοιχα. Το ποσοστό ανεργίας της Τσεχίας (2,2%) ήταν το χαμηλότερο στην Ευρωπαϊκή Ένωση, ακολουθούμενο από το 2,8% της Πολωνίας.
